22篇文献证实间充质干细胞治疗糖尿病足有益!伤口完全闭合率达82%

2022-06-28

撰文:南方医科大学 Mie
专家审核:江苏大学附属医院 李晶 教授

近日,国际研究者在world journal of plastic surgery杂志上发表了关于间充质干细胞治疗糖尿病足的综述,分析了22篇与间充质干细胞治疗糖尿病足溃疡相关的研究论文,表明间充质干细胞通过旁分泌信号和诱导分化机制在糖尿病足的皮肤再生和伤口愈合中发挥有益作用。

图片


糖尿病足:发病率高达8.1%


糖尿病足溃疡(DFU)是糖尿病的主要并发症之一。糖尿病足国际工作组将糖尿病足定义为糖尿病患者踝部以下的全层伤口,与糖尿病神经病变和外周动脉疾病相关。

图片

相关数据显示:我国50岁以上的糖尿病患者,糖尿病足的发病率高达8.1%,而糖尿病足溃疡患者年死亡率高达11%。此外,在全球范围内,每30秒就有一个肢体因糖尿病周围神经病变被截肢。85%的下肢截肢是由糖尿病足溃疡引起的。糖尿病足除了引起疼痛、感染、截肢和活动能力受损,还与严重的经济、社会和心理后遗症有关。可谓是对人体身心都造成了伤害!

糖尿病足的治疗方法包括伤口清创、预防感染、血运重建程序、高压氧治疗和负压伤口治疗等,但这些治疗方法都无法很好改善血管受损以及神经受损。因此,临床上迫切需要能够从根源上改善糖尿病足的疗法。


间充质干细胞:刺激糖尿病足血管的生成


再生医学,特别是那些使用干细胞的疗法,越来越多地被引入用于伤口愈合的治疗方法中。间充质干细胞具有强大的增殖能力、分化能力以及低水平的免疫排斥反应,在合适的环境下,其可以分化成各种细胞类型。

同时间充质干细胞可分泌相关的细胞因子如胰岛素样生长因子、血管生成素、神经营养性生长因子等,来刺激血管生成和组织再生,以及修复神经损伤所必需物质,从而达到愈合糖尿病足溃疡伤口的目的。

图片

文献1:间充质干细胞及其分泌组在皮肤中对糖尿病足治疗的作用


临床数据:间充质干细胞治疗后伤口完全闭合率达到了82%


近年来,国内外均有针对糖尿病足溃疡的间充质干细胞在研产品取得进展。2019年,韩国Anterogen研发了一款含脂肪间充质干细胞的药物「Allo-ASC-DFU」用于治疗糖尿病足溃疡,其II期临床研究成果已发表。

图片

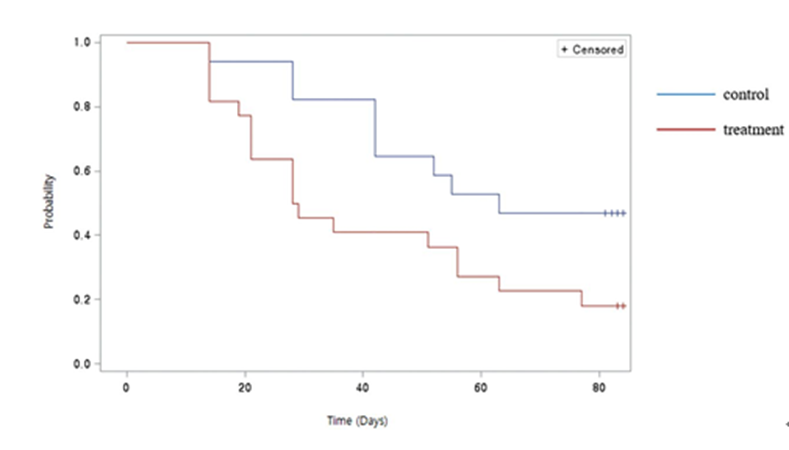
该II期临床试验共入驻了59位糖尿病足溃疡患者,分为治疗组(采用间充质干细胞片治疗)以及对照组(采用聚氨酯薄膜治疗)。每周将同种异体脂肪间充质干细胞片或聚氨酯膜用于糖尿病患者伤口之上。在1-12周的每周随访中对伤口进行评估。通过评估患者的完全闭合的 Kaplan-Meier 中位时间、伤口完全闭合率、糖尿病足Wagner分级来判断患者伤口情况。

图片

图片

研究发现治疗组的完全闭合的 Kaplan-Meier 中位时间仅为28.5天,而对照组则需要63天。在第12周的时候,治疗组伤口完全闭合率达到了82%,而对照组的伤口晚期闭合率只有53%。此外,Wagner分级表示治疗组患者的恢复更快。

在治疗期间,患者没有出现严重的不良事件,在完成治疗后继续观察了两年,随访发现两组患者均未出现与伤口治疗相关的不良事件,肯定了间充质干细胞治疗的安全性以及有效性。

图片

在国内,2004年我国谷涌泉等最先报道了采用移植自体骨髓干细胞治疗糖尿病足,并且获得较好效果。之后,解放军第三军医大学西南医院的临床研究纳入住院确诊的糖尿病足患者40例,经体外扩增自体骨髓间充质干细胞移植后,患者肢体疼痛、冷感、间歇性跛行均有所改善,踝肱指数明显升高,双下肢血管显像血流灌注有所增加,所有患者创面在治疗后2—4周内均完全愈合。

近年来,干细胞治疗糖尿病足逐渐成为研究热点之一,间充质干细胞治疗方案的出现,让糖尿病足治疗不再是单纯的停留于伤口护理这一层面,而是有希望真正达到了根治。虽然当前间充质干细胞疗法仍处于临床试验阶段,但相信当其真正应用于临床时,糖尿病足将不再是糖尿病患者的噩梦!


本站是一个学习交流的平台,网站上文章为转载,如果原文没有版权声明,按照目前互联网开放的原则,我们将在不通知作者的情况下,转载文章;如果原文明确注明“禁止转载”,我们一定不会转载,如果文章侵犯版权,请及时联系我们,更正或者删除有关内容。本平台拥有对此声明的最终解释权。